
用途與特點:
JZJ2B、JZJ2S系列羅茨水(液)環真空機組是由ZJ型羅茨泵做為主抽泵,2BV、2SK型水(液)環真空泵或羅茨水(液)環真空機組作為前級泵組成的抽氣機組。它不僅可以用來抽除一般氣體,還可以抽吸含有水分、有機溶劑及少量灰塵的氣體。它與一般機械真空泵相比具有不怕油污染,不怕水氣及微塵等優點;和一般液環真空泵相比,具有真空度高及在較高真空度工況下抽速大的優點。是輕紡、食品、化工、制藥等行業領域的干燥、脫水及真空除氣的一種理想的真空抽氣設備。
JZJ2B系列羅茨液環真空機組采用了節能的2BV型液環真空泵作為前級泵,所以JZJ2B系列羅茨液環真空機組比JZJ2S系列羅茨液環真空機組具有效率高、結構緊湊、無泄露(2BV系列為機械密封標準設計,不同于2SK系列的盤根密封)、耐腐蝕(2BV系列采用鋁青銅葉輪)、防護等級高等優點。
羅茨水環真空機組的前級泵的工作液多采用水,也可采用有機溶劑(可用甲醇、乙醇、二甲苯、丙酮等有機溶劑)或其它液體,將前級泵作為閉路循環系統使用,大大減少了對環境的污染,同時大大提高了對有機溶劑的回收。其真空度由工作液的飽和蒸汽壓決定。
羅茨機組選型注意事項:
1、了解被抽氣體成分,氣體中含不含可凝蒸氣,有無顆?;覊m,有無腐蝕性等。選擇真空泵時,需要知道氣體成分,針對被抽氣體選擇相應的泵。如果氣體中含有蒸氣、顆粒、及腐蝕性氣體,應該考慮在泵的進氣口管路上安裝輔助設備,如冷凝器、除塵器等。
2、羅茨真空機組的工作壓力應該滿足真空設備的真空及工作壓力要求。如:某真空干燥工藝要求10mmHg(絕壓)的工作壓力,選用的真空泵的壓力至少要2mmHg,能低于1mmHg。通常選擇泵的壓力要高于真空設備工作壓力半個到一個數量級。
3、正常地選擇羅茨真空機組的工作點。羅茨真空機組的正常工作范圍為高吸入壓力~壓力×5。例:JZJ2B150-2.1羅茨水環真空機組的正常工作范圍為:6000Pa~125Pa,該工作范圍為主泵開啟后的正常工作壓力范圍,該機組在此工作范圍之內效率。
4、真空機組在其工作壓力下,應能排走真空設備工藝過程中產生的全部氣體量。
5、根據實際工況條件選用合適的機組配置。例如:JZJ2B300-4.1機組及JZJ2B300-2.1機組的大抽氣速率及壓力都是相同的,所不同的是它們的工作范圍及消耗的功率不同,JZJ2B300-2.1機組的工作范圍更寬,但其所消耗的功率也更大。如果能確認被抽系統的工作壓力<2000Pa時,應優先選用JZJ2B300-4.1機組以節約能源。但如要求機組對系統有較強的預抽能力且機組需較長時間地工作在較高壓力時,則選用具有更大的前級泵的JZJ2B300-2.1機組更為適宜。
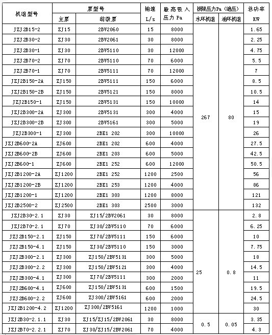
JZJ2B系列羅茨水(液)環真空機組技術指標:


注:
1、以上表格為行業推薦標準系列,因在實際生產應用中工作條件的不同,吸入氣體及壓力會發生很多變化,所以在選型時應根據實際抽氣過程、氣體釋放過程、可疑性氣體冷凝情況、吸入壓力的變化時間等進行校核計算或參照現有設備使用情況選型。
2、單泵的技術指標祥見各泵參數表。
3、最高吸入壓力是指主泵能夠啟動的最高壓力,如果在高于該壓力下啟動主泵,可能造成主泵過載。
4、如真空泵電機、電接點真空表、電控柜需防爆,請在訂貨時注明,上表中的2BV2系列相應改為2BV2-Ex系列,2BV5系列相應改為2BV6系列。